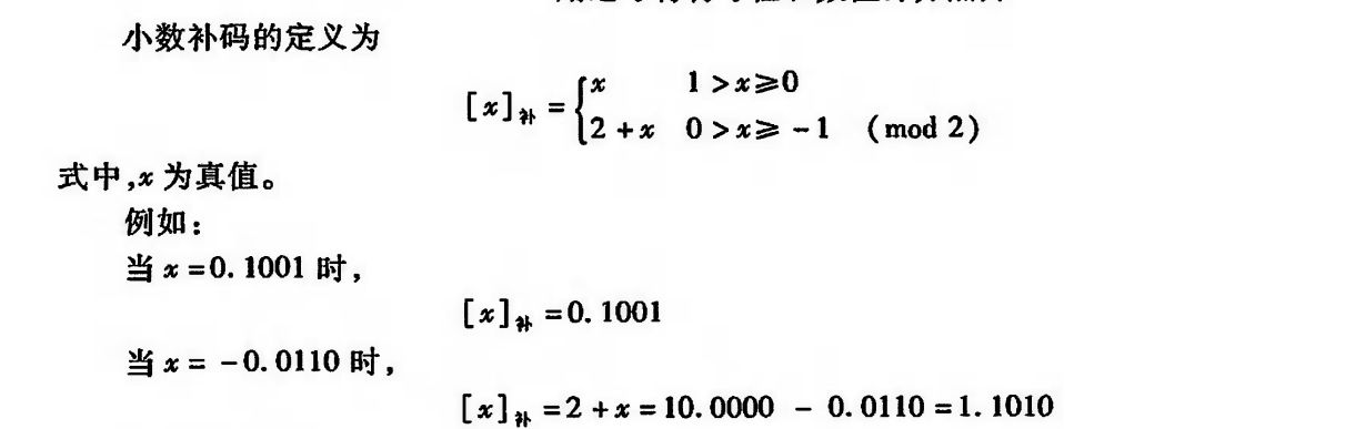
Files
fuwari-blog/public/api/i/2023/11/01/10pbxqi-3.webp
2025-07-19 00:07:23 +08:00

35 KiB
Executable File
1229x387px